- 07.03.2018 01:26
- Алгебра
- remove_red_eye 16706
- thumb_up 20
Ответы и объяснения 1
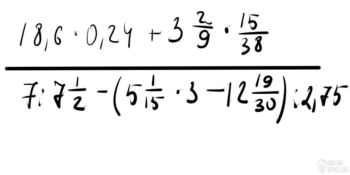
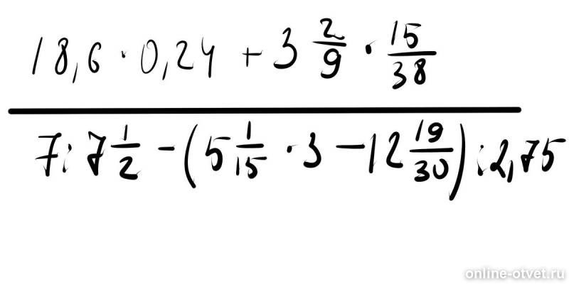
Выражение имеет смысл, если знаменатель не равен 0. Проверяем:
7 : 7 1/2 - (5 1/15 * 3 - 12 19/30) : 2,75 =
1) 5 1/15 * 3 = 76/15 *3 = 76/5 = 15,2
2) 15,2 - 12 19/30 = 15 1/5 - 12 19/30 = 15 6/30 - 12 19/30 = 14 36/30 - 12 19/30 = 2 17/30
3) 7: 7 1/2 = 7 : 15/2 = 7 * 2/15 = 14/15
4) 2 17/30 : 2,75 = 77/30 : 11/4 = 77/30 * 4/11 = 14/15
5) 14/15 - 14/15 = 0
Значит, выражение смысла не имеет
- 08.03.2018 22:37
- thumb_up 39
Знаете ответ? Поделитесь им!
Есть сомнения?
Не нашли подходящего ответа на вопрос или ответ отсутствует? Воспользуйтесь поиском по сайту, чтобы найти все ответы на похожие вопросы в разделе Алгебра.
Трудности с домашними заданиями? Не стесняйтесь попросить о помощи - смело задавайте вопросы!
Алгебра — раздел математики, который можно нестрого охарактеризовать как обобщение и расширение арифметики.