Вопрос по алгебре:
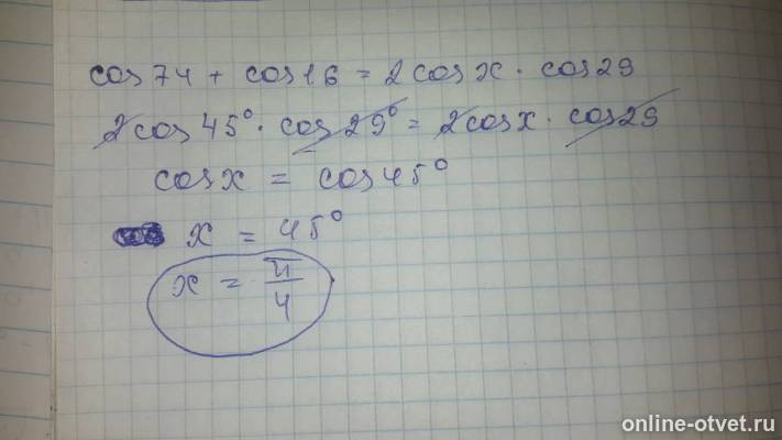
Найдите х (в радианах), если х - угол 1 четверти и cos74+cos16=2cosx*cos29
Пожаловаться
- 16.03.2018 21:45
- Алгебра
- remove_red_eye 4427
- thumb_up 47
Ответы и объяснения 1
Знаете ответ? Поделитесь им!
Есть сомнения?
Не нашли подходящего ответа на вопрос или ответ отсутствует? Воспользуйтесь поиском по сайту, чтобы найти все ответы на похожие вопросы в разделе Алгебра.
Трудности с домашними заданиями? Не стесняйтесь попросить о помощи - смело задавайте вопросы!
Алгебра — раздел математики, который можно нестрого охарактеризовать как обобщение и расширение арифметики.
Новые вопросы
Интересные вопросы