- 04.05.2018 12:26
- Алгебра
- remove_red_eye 5758
- thumb_up 42
Ответы и объяснения 1
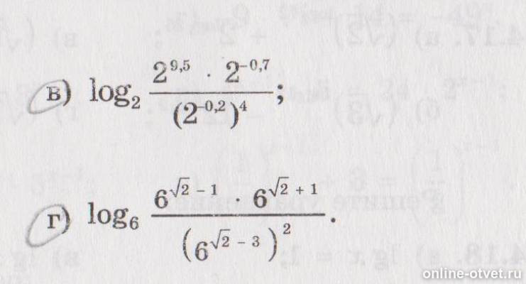
1) log2 (2^9.5*2^(-0.7))/(2^(-0.8)=log2 2^9.6=9.6
2) log6 6^6=6
только работа со степенями, то есть * = + и / = - как то так ))
Удачи;
- 05.05.2018 16:02
- thumb_up 50
Знаете ответ? Поделитесь им!
Есть сомнения?
Не нашли подходящего ответа на вопрос или ответ отсутствует? Воспользуйтесь поиском по сайту, чтобы найти все ответы на похожие вопросы в разделе Алгебра.
Трудности с домашними заданиями? Не стесняйтесь попросить о помощи - смело задавайте вопросы!
Алгебра — раздел математики, который можно нестрого охарактеризовать как обобщение и расширение арифметики.