- 15.02.2018 19:28
- Алгебра
- remove_red_eye 15622
- thumb_up 26
Ответы и объяснения 1
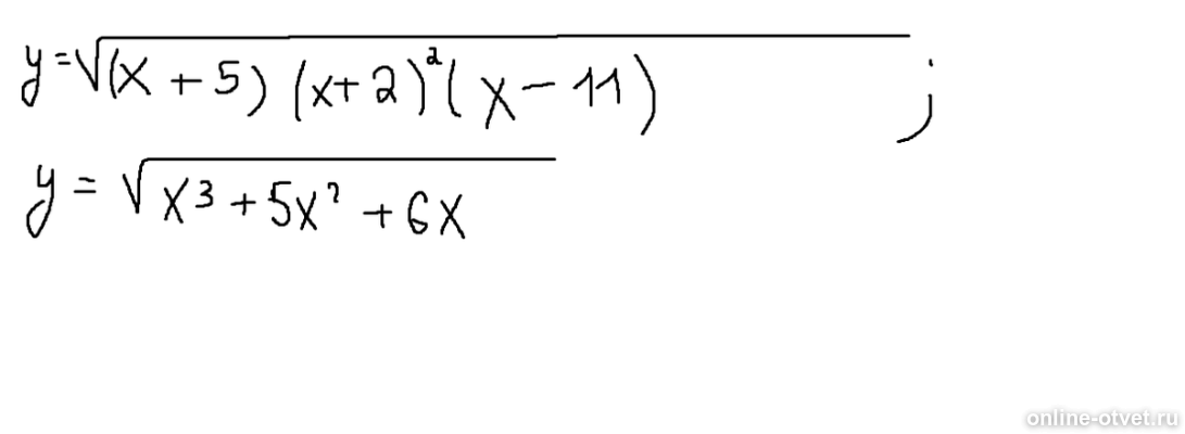
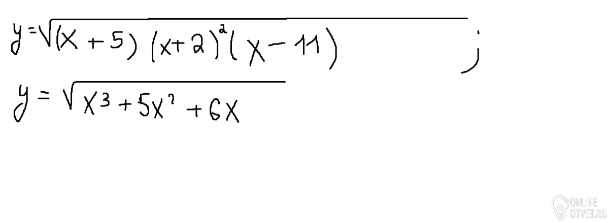
(х+5)(х+2)^(х-11)>=0
х=-5;х=-2;х=11
Ответ:(-~;-5] [11;+~)
х^3+5х^+6х>=0
х(х^+5х+6)>=0
х=0;х=-2;х=-3
Ответ:[-3;-2] [0;+~)
- 16.02.2018 00:05
- thumb_up 29
Знаете ответ? Поделитесь им!
Есть сомнения?
Не нашли подходящего ответа на вопрос или ответ отсутствует? Воспользуйтесь поиском по сайту, чтобы найти все ответы на похожие вопросы в разделе Алгебра.
Трудности с домашними заданиями? Не стесняйтесь попросить о помощи - смело задавайте вопросы!
Алгебра — раздел математики, который можно нестрого охарактеризовать как обобщение и расширение арифметики.