Вопрос по алгебре:
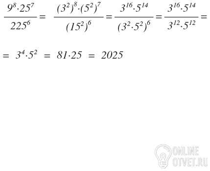
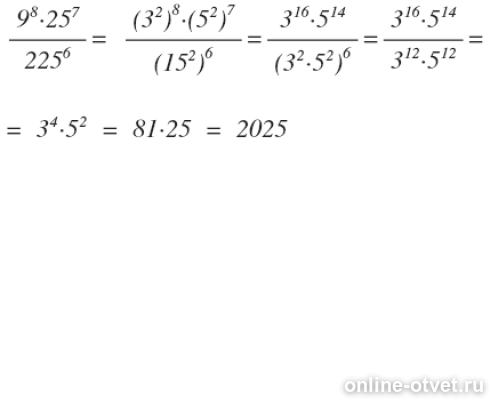
(9^8 * 25^7) / (225^6) = 2025
объясните ход решения!!! как тут что со степенями делать?? напишите подробно
- 21.09.2018 07:29
- Алгебра
- remove_red_eye 13029
- thumb_up 86
Ответы и объяснения 1
Знаете ответ? Поделитесь им!
Есть сомнения?
Не нашли подходящего ответа на вопрос или ответ отсутствует? Воспользуйтесь поиском по сайту, чтобы найти все ответы на похожие вопросы в разделе Алгебра.
Трудности с домашними заданиями? Не стесняйтесь попросить о помощи - смело задавайте вопросы!
Алгебра — раздел математики, который можно нестрого охарактеризовать как обобщение и расширение арифметики.