- 10.05.2024 16:09
- Математика
- remove_red_eye 376
- thumb_up 10
Ответы и объяснения 1
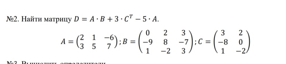
Ответ:
3С=
3*3=9 3*2=6
3*-8=-24 3*0=0
3*1=3 3*-2=-6
= ( 9 6
-24 0
3 -6 )
5A=
5*2=10 5*1=5 5*-6=-30
3*5=15 5*5=25 5*7=35
= ( 10 5 -30
15 25 35)
AB=
2*0 + 1*-9 + -6*1=-15 2*2 + 1*8 + -6*-2=24 2*3 + 1*-7 + -6*3=-19
3*0 + 5*-9 + 7*1=-38 3*2 + 5*8 + 7*-2=32 3*3 + 5*-7 + 7*3=-5
=( -15 24 -19
-38 32 -5 )
- 15.05.2024 08:55
- thumb_up 2
Знаете ответ? Поделитесь им!
Есть сомнения?
Не нашли подходящего ответа на вопрос или ответ отсутствует? Воспользуйтесь поиском по сайту, чтобы найти все ответы на похожие вопросы в разделе Математика.
Трудности с домашними заданиями? Не стесняйтесь попросить о помощи - смело задавайте вопросы!
Математика — наука о структурах, порядке и отношениях, исторически сложившаяся на основе операций подсчёта, измерения и описания формы объектов.
