Вопрос по математике:
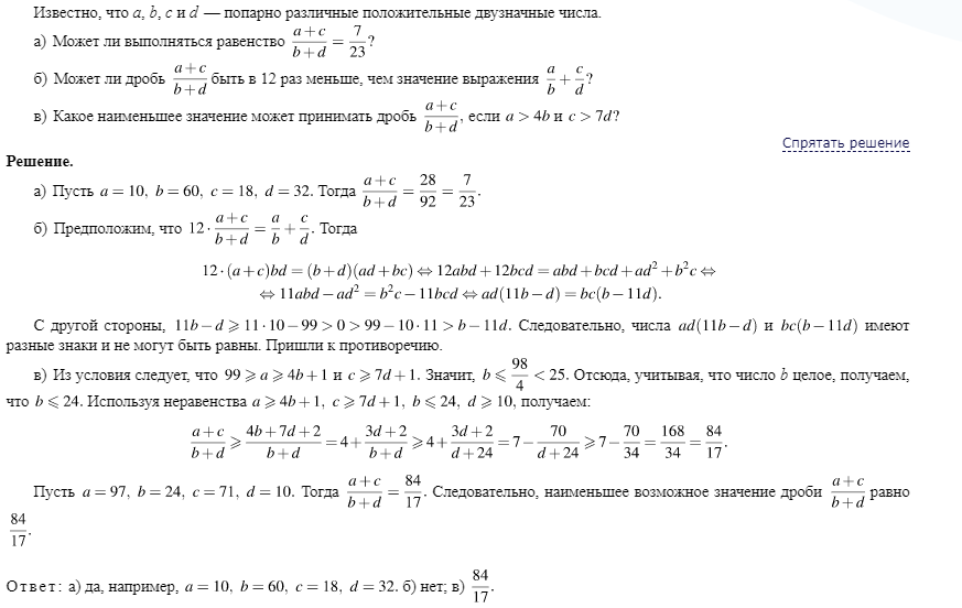
Известно, что a, b, c, и d — попарно различные положительные двузначные числа.
а) Может ли выполняться равенство
б) Может ли дробь быть в 11 раз меньше, чем сумма
в) Какое наименьшее значение может принимать дробь если
и
- 18.12.2022 11:48
- Математика
- remove_red_eye 343
- thumb_up 1
Ответы и объяснения 1
Знаете ответ? Поделитесь им!
Есть сомнения?
Не нашли подходящего ответа на вопрос или ответ отсутствует? Воспользуйтесь поиском по сайту, чтобы найти все ответы на похожие вопросы в разделе Математика.
Трудности с домашними заданиями? Не стесняйтесь попросить о помощи - смело задавайте вопросы!
Математика — наука о структурах, порядке и отношениях, исторически сложившаяся на основе операций подсчёта, измерения и описания формы объектов.
