Пожаловаться
- 06.09.2018 05:56
- Математика
- remove_red_eye 5910
- thumb_up 37
Ответы и объяснения 1
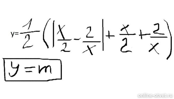
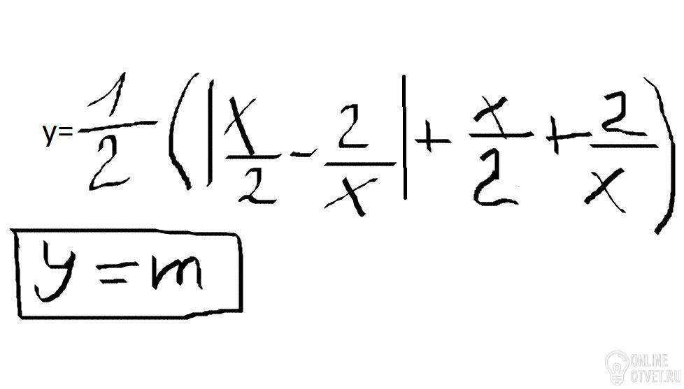
Если
то решением этого неравенства есть:

Последнее неравенство эквивалентно совокупности неравенств
На промежутке
функция примет следующий вид:
- прямая, проходящая через начало координат.
Если
, то функция примет следующий вид:
- гипербола (область определения - все значения х, кроме х=0)
При m = ±1 графики пересекаются в одной точке
Последнее неравенство эквивалентно совокупности неравенств
На промежутке
Если
При m = ±1 графики пересекаются в одной точке
Пожаловаться
- 07.09.2018 20:53
- thumb_up 2
Знаете ответ? Поделитесь им!
Есть сомнения?
Не нашли подходящего ответа на вопрос или ответ отсутствует? Воспользуйтесь поиском по сайту, чтобы найти все ответы на похожие вопросы в разделе Математика.
Трудности с домашними заданиями? Не стесняйтесь попросить о помощи - смело задавайте вопросы!
Математика — наука о структурах, порядке и отношениях, исторически сложившаяся на основе операций подсчёта, измерения и описания формы объектов.
Новые вопросы
Интересные вопросы