Вопрос по математике:
Упростите выражение
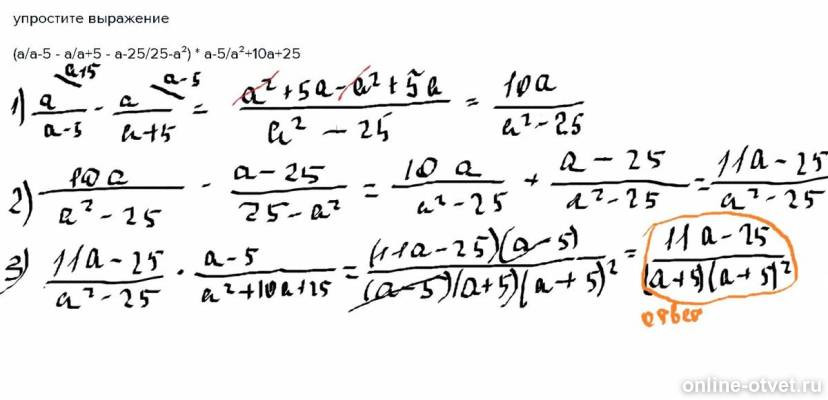
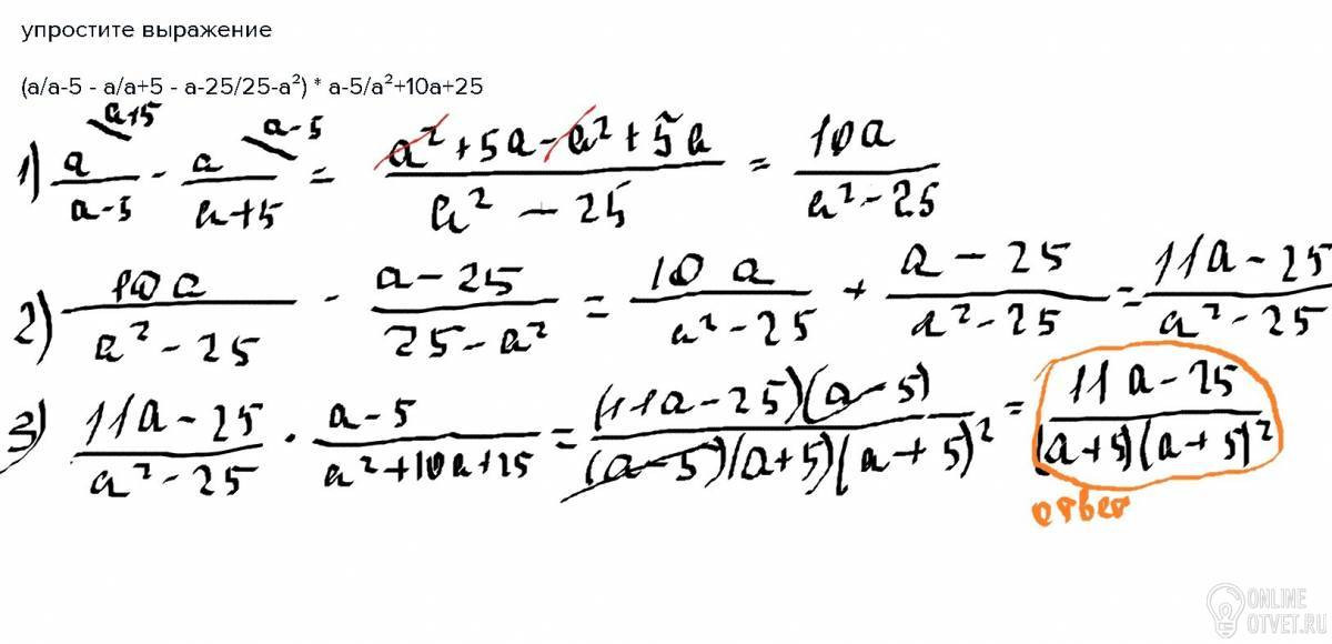
(a/a-5 - a/a+5 - a-25/25-a²) * a-5/a²+10a+25
- 24.08.2018 23:05
- Математика
- remove_red_eye 16407
- thumb_up 17
Ответы и объяснения 1
Знаете ответ? Поделитесь им!
Есть сомнения?
Не нашли подходящего ответа на вопрос или ответ отсутствует? Воспользуйтесь поиском по сайту, чтобы найти все ответы на похожие вопросы в разделе Математика.
Трудности с домашними заданиями? Не стесняйтесь попросить о помощи - смело задавайте вопросы!
Математика — наука о структурах, порядке и отношениях, исторически сложившаяся на основе операций подсчёта, измерения и описания формы объектов.