Пожаловаться
- 15.09.2018 02:21
- Математика
- remove_red_eye 9896
- thumb_up 37
Ответы и объяснения 1
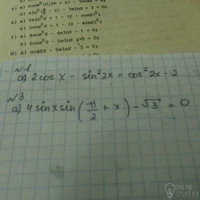
1.
2cosx-sin²2x=cos²2x-2
2cosx-(sin²2x+cos²2x)=-2
2cosx-1=-2
2cosx=-1
cosx=-1/2
x=+,-2п/3+2пn
2.
4sinx*sin(п/2+x)-√3=0
4sinx*cosx=√3
2sin2x=√3/:2
sin2x=√3/2
2x=п/3+2пn, 2x=2п/3+2пn
x=п/6+пn, x=п/3+пn
2cosx-sin²2x=cos²2x-2
2cosx-(sin²2x+cos²2x)=-2
2cosx-1=-2
2cosx=-1
cosx=-1/2
x=+,-2п/3+2пn
2.
4sinx*sin(п/2+x)-√3=0
4sinx*cosx=√3
2sin2x=√3/:2
sin2x=√3/2
2x=п/3+2пn, 2x=2п/3+2пn
x=п/6+пn, x=п/3+пn
Пожаловаться
- 16.09.2018 14:48
- thumb_up 23
Знаете ответ? Поделитесь им!
Есть сомнения?
Не нашли подходящего ответа на вопрос или ответ отсутствует? Воспользуйтесь поиском по сайту, чтобы найти все ответы на похожие вопросы в разделе Математика.
Трудности с домашними заданиями? Не стесняйтесь попросить о помощи - смело задавайте вопросы!
Математика — наука о структурах, порядке и отношениях, исторически сложившаяся на основе операций подсчёта, измерения и описания формы объектов.
Новые вопросы
Интересные вопросы