- 05.09.2018 16:44
- Математика
- remove_red_eye 3005
- thumb_up 34
Ответы и объяснения 1
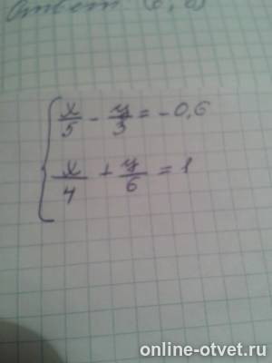
Из первого уравнения выразим х
х/5= - 6/10+у/3
х/5= - 3/ 5+у/3
х= (-9+5у)/15 * 5
х= ((- 9+5у) * 5)/15
х= (- 9 + 5у)/3
Подставим х во второе уравнение
( - 9+5у)/3 * 1/4 + у/6=1
(7у - 9)/12=1
7у - 9 =12
7у=21
у=3
найдем теперь х
х= (- 9 + 5*3)/3
х=2
Ответ: х=2, у=3.
Оценку поставь мне звездочками и нажми лучший ответ
- 06.09.2018 05:01
- thumb_up 13
Знаете ответ? Поделитесь им!
Есть сомнения?
Не нашли подходящего ответа на вопрос или ответ отсутствует? Воспользуйтесь поиском по сайту, чтобы найти все ответы на похожие вопросы в разделе Математика.
Трудности с домашними заданиями? Не стесняйтесь попросить о помощи - смело задавайте вопросы!
Математика — наука о структурах, порядке и отношениях, исторически сложившаяся на основе операций подсчёта, измерения и описания формы объектов.