Вопрос по математике:
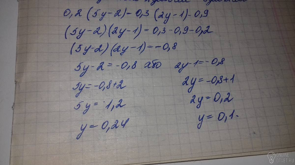
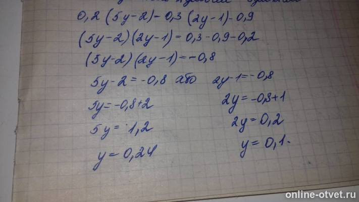
Решите уравнение : 0,2*(5у-2)=0,3*(2у-1)-0,9 !!!!!!!!!!!!!!!!!!!!!!!!!!!!!!!!!
- 23.09.2018 08:28
- Математика
- remove_red_eye 4900
- thumb_up 25
Ответы и объяснения 1
Знаете ответ? Поделитесь им!
Есть сомнения?
Не нашли подходящего ответа на вопрос или ответ отсутствует? Воспользуйтесь поиском по сайту, чтобы найти все ответы на похожие вопросы в разделе Математика.
Трудности с домашними заданиями? Не стесняйтесь попросить о помощи - смело задавайте вопросы!
Математика — наука о структурах, порядке и отношениях, исторически сложившаяся на основе операций подсчёта, измерения и описания формы объектов.