- 25.08.2018 01:48
- Математика
- remove_red_eye 18126
- thumb_up 15
Ответы и объяснения 1
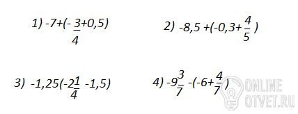
1. -7+(-0.75+0.5)=-7-0.25=-7.25
2. -8.5+(-0.3+0.8)=-8.5+0.5=-8
3.-1.25(-2.25-1.5)=-1.25(-3.75)=1 1/4*3 3/4=5/4*15/4=75/16=4 11/16
4. -9 3/7-(-42/7+4/7)=-9 3/7-(-38/7)=-66/7+38/7=-28/7=-4
- 26.08.2018 22:28
- thumb_up 50
Знаете ответ? Поделитесь им!
Есть сомнения?
Не нашли подходящего ответа на вопрос или ответ отсутствует? Воспользуйтесь поиском по сайту, чтобы найти все ответы на похожие вопросы в разделе Математика.
Трудности с домашними заданиями? Не стесняйтесь попросить о помощи - смело задавайте вопросы!
Математика — наука о структурах, порядке и отношениях, исторически сложившаяся на основе операций подсчёта, измерения и описания формы объектов.