Вопрос по литературе:
Решите пожалуйста срочно!!
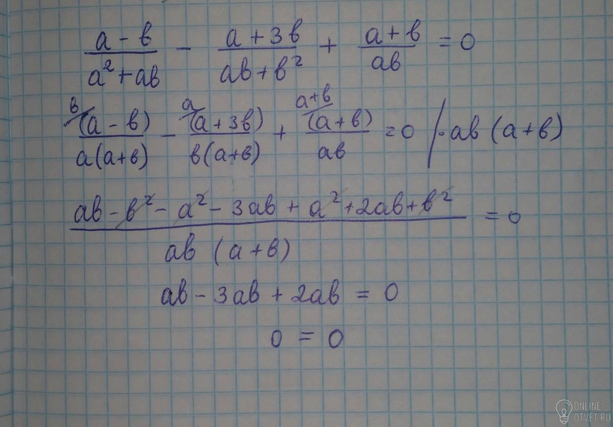
Докажите что
a-b/a^2+ab - a+3b/ab+b^2 + a+b/ab =0
Знак / - это черта дроби то есть a-b/a^2+ab- a-b это числитель а a^2+ab это знаменатель . и другие также
- 20.09.2018 07:32
- Литература
- remove_red_eye 13590
- thumb_up 29
Ответы и объяснения 1
Знаете ответ? Поделитесь им!
Есть сомнения?
Не нашли подходящего ответа на вопрос или ответ отсутствует? Воспользуйтесь поиском по сайту, чтобы найти все ответы на похожие вопросы в разделе Литература.
Трудности с домашними заданиями? Не стесняйтесь попросить о помощи - смело задавайте вопросы!
Литература — в широком смысле слова совокупность любых письменных текстов.