Вопрос по информатике:
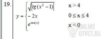
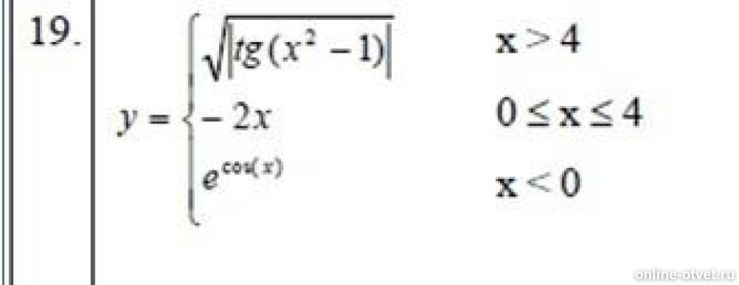
1. Разработать подпрограмму для вычисления значения функции (функция определена в таблице 1). Значение функции вычислять с точностью до тысячных долей.
Рассмотреть два варианта реализации подпрограммы: подпрограмма-процедура и подпрограмма-функция.
Использовать подпрограмму для построения таблицы значений функции в 10 различных точках. Очень сильно нужна помощь , необходимо сделать в паскаль
- 12.10.2016 13:46
- Информатика
- remove_red_eye 15877
- thumb_up 18
Ответы и объяснения 1
Знаете ответ? Поделитесь им!
Есть сомнения?
Не нашли подходящего ответа на вопрос или ответ отсутствует? Воспользуйтесь поиском по сайту, чтобы найти все ответы на похожие вопросы в разделе Информатика.
Трудности с домашними заданиями? Не стесняйтесь попросить о помощи - смело задавайте вопросы!
Информатика — наука о методах и процессах сбора, хранения, обработки, передачи, анализа и оценки информации с применением компьютерных технологий, обеспечивающих возможность её использования для принятия решений.