- 10.02.2017 00:04
- Информатика
- remove_red_eye 17931
- thumb_up 12
Ответы и объяснения 1
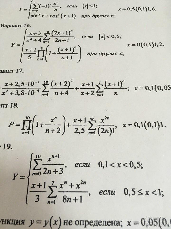
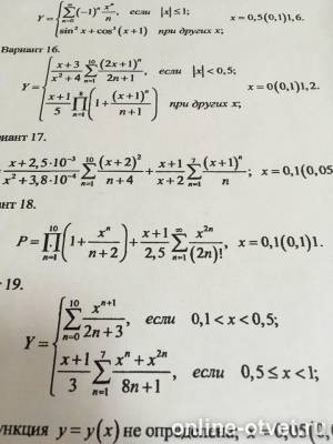
// Внимание! Если программа не работает, обновите версию!
begin
for var x1:=0 to 12 do begin
var x:=x1/10;
if Abs(x)<0.5 then begin
var (y,s,a):=((x+3)/(x*x+4),0.0,1.0);
for var n:=1 to 10 do begin a*=(2*x+1); s+=a/(2*n+1) end;
y*=s;
Writeln('x = ',x:3:1,', Y = ',y)
end
else begin
var (y,p,a):=((x+1)/5,1.0,1.0);
for var n:=1 to 8 do begin a*=(x+1); p*=1+a/(n+1) end;
y*=p;
Writeln('x = ',x:3:1,', Y = ',y)
end;
end
end.
Результат
x = 0.0, Y = 0.885655933333952
x = 0.1, Y = 2.07134133017373
x = 0.2, Y = 5.37135178910962
x = 0.3, Y = 14.3385122904036
x = 0.4, Y = 37.2591296972574
x = 0.5, Y = 244.826467104353
x = 0.6, Y = 1171.45928887289
x = 0.7, Y = 5902.01341262292
x = 0.8, Y = 30197.4497576749
x = 0.9, Y = 153052.875303788
x = 1.0, Y = 756279.377777778
x = 1.1, Y = 3608294.82269368
x = 1.2, Y = 16533102.0129557
- 11.02.2017 14:48
- thumb_up 10
Знаете ответ? Поделитесь им!
Есть сомнения?
Не нашли подходящего ответа на вопрос или ответ отсутствует? Воспользуйтесь поиском по сайту, чтобы найти все ответы на похожие вопросы в разделе Информатика.
Трудности с домашними заданиями? Не стесняйтесь попросить о помощи - смело задавайте вопросы!
Информатика — наука о методах и процессах сбора, хранения, обработки, передачи, анализа и оценки информации с применением компьютерных технологий, обеспечивающих возможность её использования для принятия решений.