- 10.01.2015 04:54
- Информатика
- remove_red_eye 11562
- thumb_up 45
Ответы и объяснения 1
#include
using namespace std;
float f(float x);
int main()
{
float x;
cin >> x;
cout << (f(x)) << endl;
}
float f(float x)
{
float y;
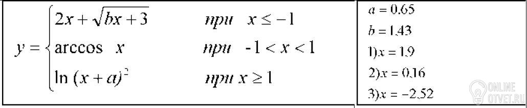
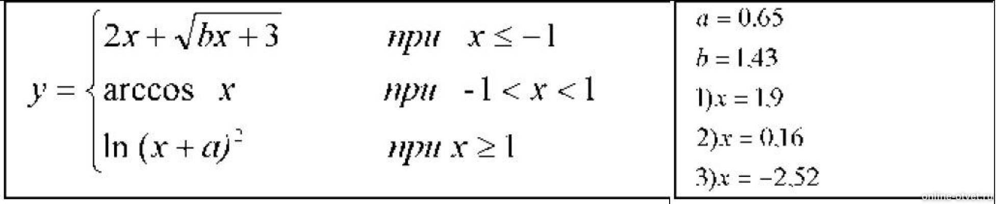
float a = 0.65F;
float b = 1.43F;
if (x <= -1)
y = 2 * x + sqrt(b*x + 3);
else if (x < 1)
y = acos(x);
else
y = log(pow((x + a),2));
return y;
}
- 11.01.2015 12:31
- thumb_up 1
Знаете ответ? Поделитесь им!
Есть сомнения?
Не нашли подходящего ответа на вопрос или ответ отсутствует? Воспользуйтесь поиском по сайту, чтобы найти все ответы на похожие вопросы в разделе Информатика.
Трудности с домашними заданиями? Не стесняйтесь попросить о помощи - смело задавайте вопросы!
Информатика — наука о методах и процессах сбора, хранения, обработки, передачи, анализа и оценки информации с применением компьютерных технологий, обеспечивающих возможность её использования для принятия решений.