- 26.12.2016 09:35
- Информатика
- remove_red_eye 6258
- thumb_up 36
Ответы и объяснения 2
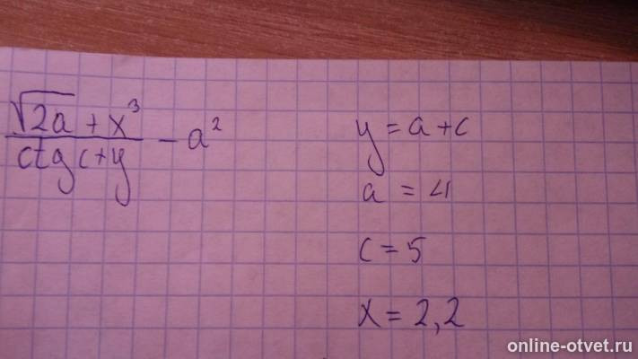
var
y,a,c,x:real;
begin
a:=4; c:=5; x:=2.2;
y:=a+c;
Write((sqrt(2*a)+x*x*x)/(1/tan(c)+y)-a*a)
end.
Результат
-14.4517305299199
- 27.12.2016 03:28
- thumb_up 33
y,x,a,c:real;
Begin
a:=4;
c:=5;
x:=2.2;
y:=a+c;
WriteLn((sqrt(2*a)+x*x*x)/(1/Tan(c) +y) -a*a);
End.
- 28.12.2016 21:42
- thumb_up 18
Знаете ответ? Поделитесь им!
Есть сомнения?
Не нашли подходящего ответа на вопрос или ответ отсутствует? Воспользуйтесь поиском по сайту, чтобы найти все ответы на похожие вопросы в разделе Информатика.
Трудности с домашними заданиями? Не стесняйтесь попросить о помощи - смело задавайте вопросы!
Информатика — наука о методах и процессах сбора, хранения, обработки, передачи, анализа и оценки информации с применением компьютерных технологий, обеспечивающих возможность её использования для принятия решений.