Вопрос по информатике:
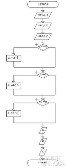
Помогите умняшки! Даны три числа. все неотрицательные числа увеличить в 3 раза. Составить алгоритм с помощью блок схемы.
- 09.06.2017 16:47
- Информатика
- remove_red_eye 19431
- thumb_up 24
Ответы и объяснения 1
Знаете ответ? Поделитесь им!
Есть сомнения?
Не нашли подходящего ответа на вопрос или ответ отсутствует? Воспользуйтесь поиском по сайту, чтобы найти все ответы на похожие вопросы в разделе Информатика.
Трудности с домашними заданиями? Не стесняйтесь попросить о помощи - смело задавайте вопросы!
Информатика — наука о методах и процессах сбора, хранения, обработки, передачи, анализа и оценки информации с применением компьютерных технологий, обеспечивающих возможность её использования для принятия решений.