- 19.07.2015 11:31
- Информатика
- remove_red_eye 16635
- thumb_up 42
Ответы и объяснения 1
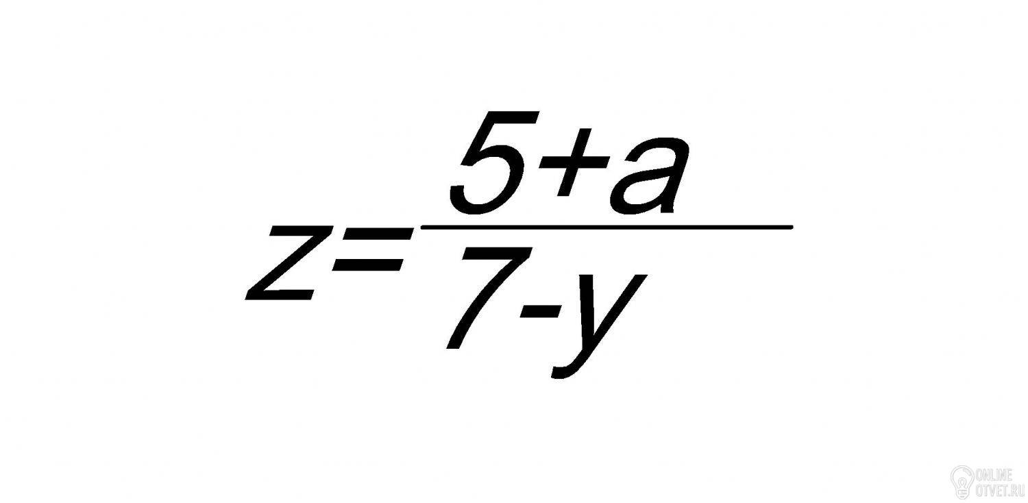
var
a, y : double;
begin
write ('Введите a и y: ');
readln (a, y);
write ('z = ', (5+a)/(7-y));
end.
- 20.07.2015 00:00
- thumb_up 14
Знаете ответ? Поделитесь им!
Есть сомнения?
Не нашли подходящего ответа на вопрос или ответ отсутствует? Воспользуйтесь поиском по сайту, чтобы найти все ответы на похожие вопросы в разделе Информатика.
Трудности с домашними заданиями? Не стесняйтесь попросить о помощи - смело задавайте вопросы!
Информатика — наука о методах и процессах сбора, хранения, обработки, передачи, анализа и оценки информации с применением компьютерных технологий, обеспечивающих возможность её использования для принятия решений.