- 16.02.2017 11:52
- Информатика
- remove_red_eye 8568
- thumb_up 26
Ответы и объяснения 1
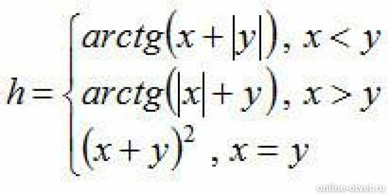
#include
#include
using namespace std;
int main()
{
setlocale(LC_ALL, "Russian");
double h,x,y;
cout << "Введите x,y: ";
cin >> x >> y;
if (x
h=atan(x+abs(y));
}
else if (x>y)
{
h=atan(abs(x)+y);
}
else if (x=y)
{
h=pow(x+y,2);
}
cout << "h = " << h << endl;
return 0;
}
- 17.02.2017 23:37
- thumb_up 37
Знаете ответ? Поделитесь им!
Есть сомнения?
Не нашли подходящего ответа на вопрос или ответ отсутствует? Воспользуйтесь поиском по сайту, чтобы найти все ответы на похожие вопросы в разделе Информатика.
Трудности с домашними заданиями? Не стесняйтесь попросить о помощи - смело задавайте вопросы!
Информатика — наука о методах и процессах сбора, хранения, обработки, передачи, анализа и оценки информации с применением компьютерных технологий, обеспечивающих возможность её использования для принятия решений.