Вопрос по информатике:
Ответ пожалуйста срочно
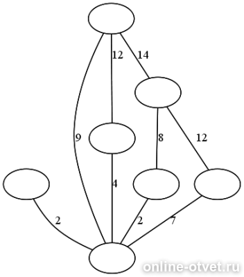
В стране есть несколько городов, соединенных двусторонними дорогами. Каждую дорогу можно за некоторое количество денег (оно указано на рисунке возле дороги) превратить в скоростную магистраль. За какое минимальное количество денег можно добиться того, чтобы из любого города можно было попасть в любой другой, передвигаясь только по скоростным магистралям
- 16.08.2018 00:16
- Информатика
- remove_red_eye 7561
- thumb_up 37
Ответы и объяснения 1
Знаете ответ? Поделитесь им!
Есть сомнения?
Не нашли подходящего ответа на вопрос или ответ отсутствует? Воспользуйтесь поиском по сайту, чтобы найти все ответы на похожие вопросы в разделе Информатика.
Трудности с домашними заданиями? Не стесняйтесь попросить о помощи - смело задавайте вопросы!
Информатика — наука о методах и процессах сбора, хранения, обработки, передачи, анализа и оценки информации с применением компьютерных технологий, обеспечивающих возможность её использования для принятия решений.