- 26.05.2016 16:20
- Информатика
- remove_red_eye 2187
- thumb_up 25
Ответы и объяснения 1
Сначала
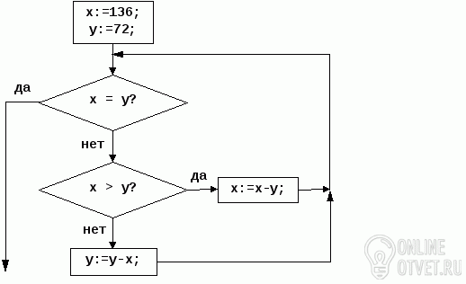
х=136 у=72
1) х=136-72=64 у=72
2) х=64 у=72-64=8
3) х=64-8=56 у=8
4) х=56-8=48 у=8
5) х=48-8=40 у=8
6) х=40-8=32 у=8
7) х=32-8=24 у=8
8) х=24-8=16 у=8
9) х=16-8=8 у=8 теперь у=х true ответ 8
- 27.05.2016 17:52
- thumb_up 28
Знаете ответ? Поделитесь им!
Есть сомнения?
Не нашли подходящего ответа на вопрос или ответ отсутствует? Воспользуйтесь поиском по сайту, чтобы найти все ответы на похожие вопросы в разделе Информатика.
Трудности с домашними заданиями? Не стесняйтесь попросить о помощи - смело задавайте вопросы!
Информатика — наука о методах и процессах сбора, хранения, обработки, передачи, анализа и оценки информации с применением компьютерных технологий, обеспечивающих возможность её использования для принятия решений.