Вопрос по химии:
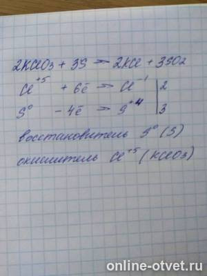
Подберите коэффициенты в уравнении окислительно-восстановительной реакции методом электронного баланса. Определите окислитель и восстановитель, процессы окисления и восстановления, сумму всех коэффициентов: KClO3 + S → KCl + SO2
ХИМИКИ,ПОМОГАЙТЕ((((( ОЧЕНЬ СРОЧНО!!!!
- 16.04.2017 17:12
- Химия
- remove_red_eye 15068
- thumb_up 34
Ответы и объяснения 1
Знаете ответ? Поделитесь им!
Есть сомнения?
Не нашли подходящего ответа на вопрос или ответ отсутствует? Воспользуйтесь поиском по сайту, чтобы найти все ответы на похожие вопросы в разделе Химия.
Трудности с домашними заданиями? Не стесняйтесь попросить о помощи - смело задавайте вопросы!
Химия — одна из важнейших и обширных областей естествознания, наука о веществах, их составе и строении, их свойствах, зависящих от состава и строения, их превращениях, ведущих к изменению состава — химических реакциях, а также о законах и закономерностях, которым эти превращения подчиняются.