Вопрос по химии:
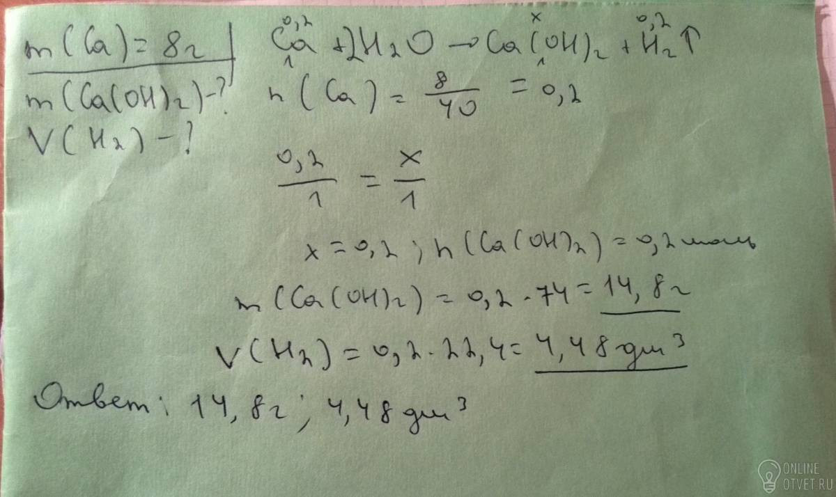
Кальций, массой 8 г поместили в воду. Определите: массу образовавшегося гидроксида кальция и объем (н.у.) выделившегося газа. можно вместе с дано написать
- 22.04.2017 21:21
- Химия
- remove_red_eye 910
- thumb_up 12
Ответы и объяснения 1
Знаете ответ? Поделитесь им!
Есть сомнения?
Не нашли подходящего ответа на вопрос или ответ отсутствует? Воспользуйтесь поиском по сайту, чтобы найти все ответы на похожие вопросы в разделе Химия.
Трудности с домашними заданиями? Не стесняйтесь попросить о помощи - смело задавайте вопросы!
Химия — одна из важнейших и обширных областей естествознания, наука о веществах, их составе и строении, их свойствах, зависящих от состава и строения, их превращениях, ведущих к изменению состава — химических реакциях, а также о законах и закономерностях, которым эти превращения подчиняются.