Вопрос по химии:
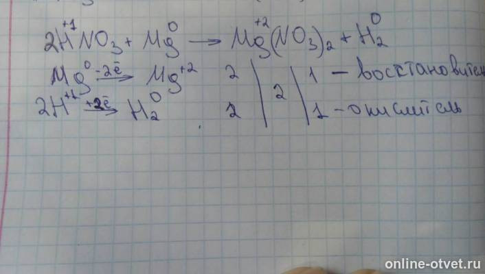
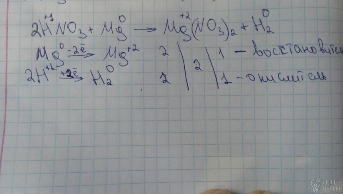
Написать уравнения реакции азотной кислоты с основанием, основным оксидом, солью. Составить электронный баланс и уравнять реакцию взаимодействия концентрированной азотной кислоты с магнием!!!!!!!1
- 24.11.2017 15:49
- Химия
- remove_red_eye 12980
- thumb_up 30
Ответы и объяснения 1
Знаете ответ? Поделитесь им!
Есть сомнения?
Не нашли подходящего ответа на вопрос или ответ отсутствует? Воспользуйтесь поиском по сайту, чтобы найти все ответы на похожие вопросы в разделе Химия.
Трудности с домашними заданиями? Не стесняйтесь попросить о помощи - смело задавайте вопросы!
Химия — одна из важнейших и обширных областей естествознания, наука о веществах, их составе и строении, их свойствах, зависящих от состава и строения, их превращениях, ведущих к изменению состава — химических реакциях, а также о законах и закономерностях, которым эти превращения подчиняются.