- 02.12.2017 00:59
- Химия
- remove_red_eye 7331
- thumb_up 14
Ответы и объяснения 1
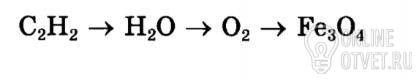
1)C2H2+Ca(OH)2=CaC2+2H2O
2C2H2+5O2=4CO2+2H2O
2)2H2O=2H2+O2
3)3Fe+2O2=Fe3O4
C6H6->H2O->O2->Al2O3
1)2C6H6+15O2=12CO2+6H2O
2)2H2O=2H2+O2
3)4Al+3O2=2Al2O3
Цепочка которая на 3 фото с калием(KMnO4):
1)2KMnO4=K2MnO4+MnO2+O2
2)4Al+3O2=2Al2O3
3)2ZnS+3O2=2ZnO+2SO2
Цепочка которая на 4 фото там где KNO3:
1)2KNO3=2KNO2+O2
2)2Zn+O2=2ZnO
3)2AlS3+9O2=2Al2O3+6SO2
- 03.12.2017 19:58
- thumb_up 35
Знаете ответ? Поделитесь им!
Есть сомнения?
Не нашли подходящего ответа на вопрос или ответ отсутствует? Воспользуйтесь поиском по сайту, чтобы найти все ответы на похожие вопросы в разделе Химия.
Трудности с домашними заданиями? Не стесняйтесь попросить о помощи - смело задавайте вопросы!
Химия — одна из важнейших и обширных областей естествознания, наука о веществах, их составе и строении, их свойствах, зависящих от состава и строения, их превращениях, ведущих к изменению состава — химических реакциях, а также о законах и закономерностях, которым эти превращения подчиняются.