Вопрос по химии:
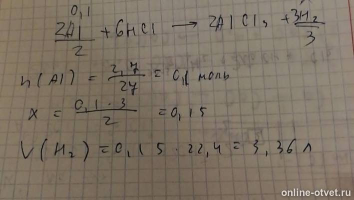
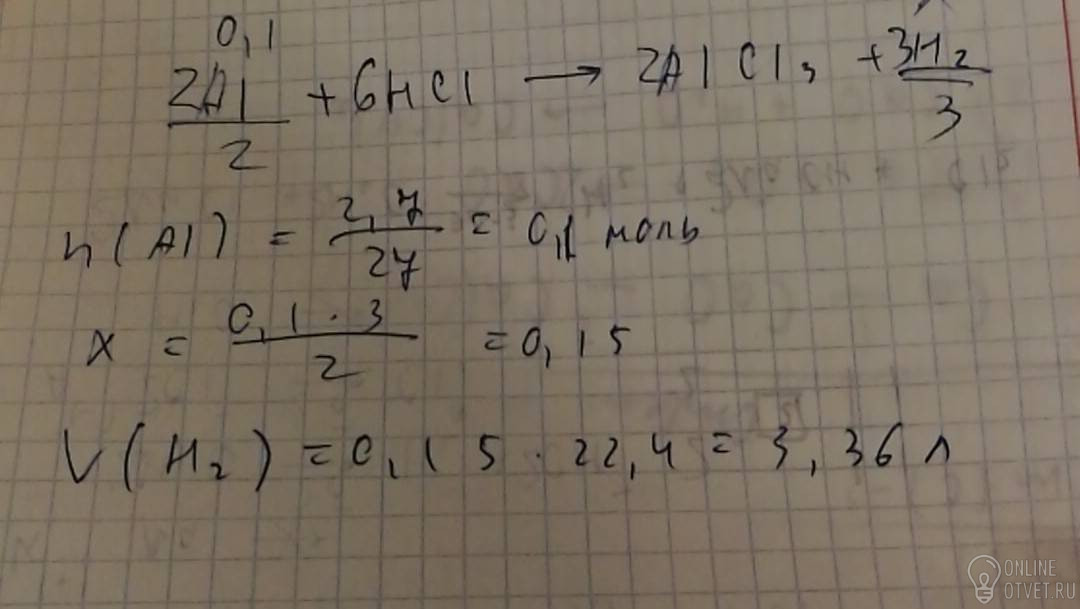
СРОЧНО!!!!!!МНОГО БАЛЛОВ!!! На Al массой 2,7г воздействовали избытком хлоридной кислоты.Какой объём водорода выделится ?
- 12.04.2018 03:50
- Химия
- remove_red_eye 9058
- thumb_up 50
Ответы и объяснения 1
Знаете ответ? Поделитесь им!
Есть сомнения?
Не нашли подходящего ответа на вопрос или ответ отсутствует? Воспользуйтесь поиском по сайту, чтобы найти все ответы на похожие вопросы в разделе Химия.
Трудности с домашними заданиями? Не стесняйтесь попросить о помощи - смело задавайте вопросы!
Химия — одна из важнейших и обширных областей естествознания, наука о веществах, их составе и строении, их свойствах, зависящих от состава и строения, их превращениях, ведущих к изменению состава — химических реакциях, а также о законах и закономерностях, которым эти превращения подчиняются.