Вопрос по химии:
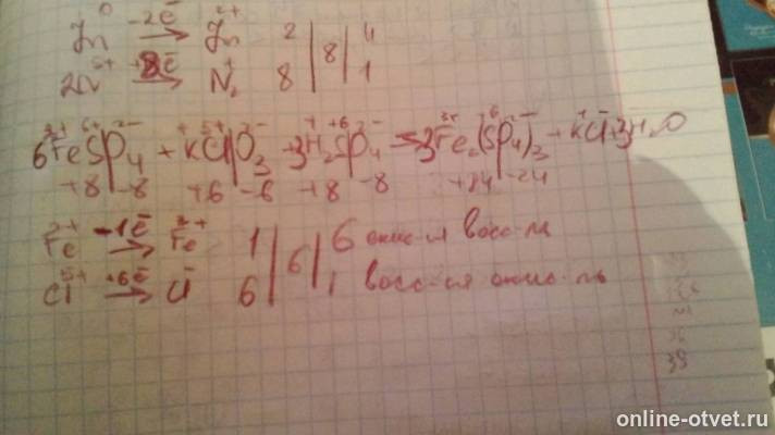
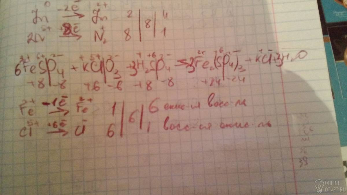
Zn + HNO3 → Zn(NO3)2 + N2O + H2O;
FeSO4 + KClO3 + H2SO4 → Fe2(SO4)3 + KCl + H2O
расставить степени окисления и уравнять
- 04.05.2017 11:30
- Химия
- remove_red_eye 2980
- thumb_up 48
Ответы и объяснения 1
Знаете ответ? Поделитесь им!
Есть сомнения?
Не нашли подходящего ответа на вопрос или ответ отсутствует? Воспользуйтесь поиском по сайту, чтобы найти все ответы на похожие вопросы в разделе Химия.
Трудности с домашними заданиями? Не стесняйтесь попросить о помощи - смело задавайте вопросы!
Химия — одна из важнейших и обширных областей естествознания, наука о веществах, их составе и строении, их свойствах, зависящих от состава и строения, их превращениях, ведущих к изменению состава — химических реакциях, а также о законах и закономерностях, которым эти превращения подчиняются.