- 19.06.2017 11:35
- Химия
- remove_red_eye 11956
- thumb_up 43
Ответы и объяснения 1
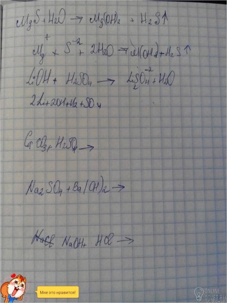
2LiOH + H2SO4 = Li2SO4 + 2H2O
2Li(+) + 2OH(-) + 2H(+) + SO4(-2) = 2Li(+) + SO4(-2) + 2H2O
2OH(-) + 2H(+) = 2H2O
CaCO3 + H2SO4 = CaSO4 + CO2 + H2O
CaCO3 + 2H(+) + SO4(-2) = CaSO4 + CO2 + H2O
Na2SO4 + Ba(OH)2 = BaSO4 + 2NaOH
2Na(+) + SO4(-2) + Ba(+2) + 2OH(-) = BaSO4 + 2Na(+) + 2OH(-)
SO4(-2) + Ba(+2) = BaSO4
NaOH + HCl = NaCl + H2O
Na(+) + OH(-) + H(+) + Cl(-) = Na(+) + Cl(-) + H2O
OH(-) + H(+) = H2O
- 20.06.2017 06:25
- thumb_up 33
Знаете ответ? Поделитесь им!
Есть сомнения?
Не нашли подходящего ответа на вопрос или ответ отсутствует? Воспользуйтесь поиском по сайту, чтобы найти все ответы на похожие вопросы в разделе Химия.
Трудности с домашними заданиями? Не стесняйтесь попросить о помощи - смело задавайте вопросы!
Химия — одна из важнейших и обширных областей естествознания, наука о веществах, их составе и строении, их свойствах, зависящих от состава и строения, их превращениях, ведущих к изменению состава — химических реакциях, а также о законах и закономерностях, которым эти превращения подчиняются.