Вопрос по химии:
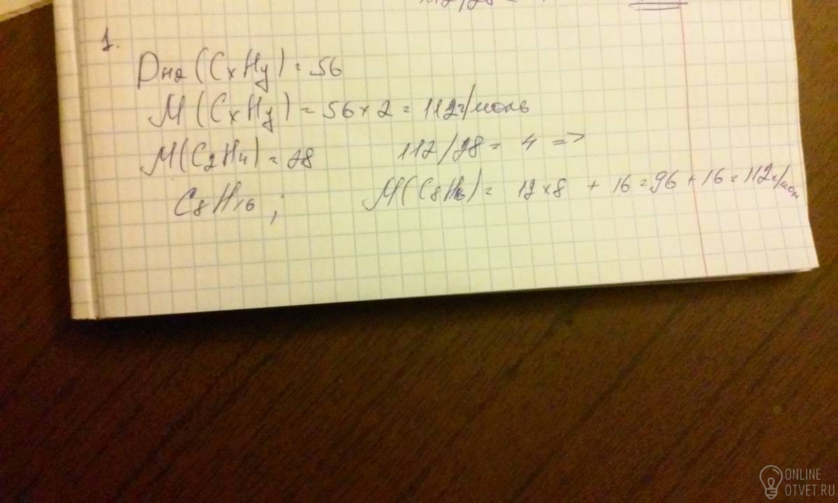
1) Плотность паров непредельного углеводорода этиленового ряда по водороду равно 56.
Вывести формулу углеводорода.
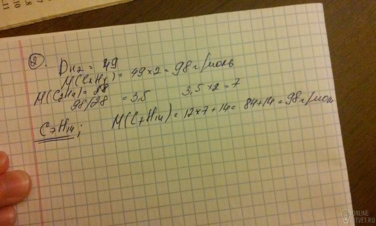
2) Относительная плотность углеводорода этилена по водороду равно 49. Найти молекулярную формулу углеводорода.
- 21.08.2017 09:54
- Химия
- remove_red_eye 13907
- thumb_up 31
Ответы и объяснения 1
Знаете ответ? Поделитесь им!
Есть сомнения?
Не нашли подходящего ответа на вопрос или ответ отсутствует? Воспользуйтесь поиском по сайту, чтобы найти все ответы на похожие вопросы в разделе Химия.
Трудности с домашними заданиями? Не стесняйтесь попросить о помощи - смело задавайте вопросы!
Химия — одна из важнейших и обширных областей естествознания, наука о веществах, их составе и строении, их свойствах, зависящих от состава и строения, их превращениях, ведущих к изменению состава — химических реакциях, а также о законах и закономерностях, которым эти превращения подчиняются.