- 21.12.2017 23:50
- Химия
- remove_red_eye 9834
- thumb_up 26
Ответы и объяснения 1
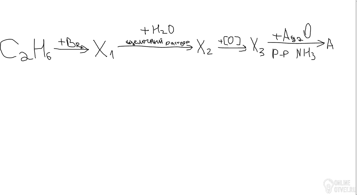
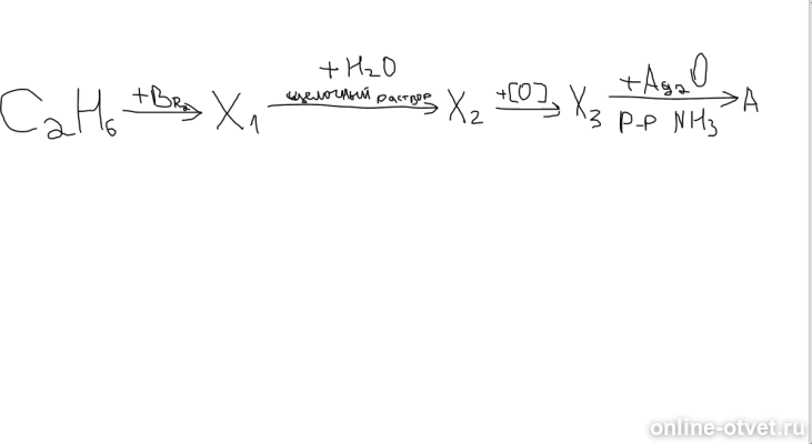
С2H6+Br2----> С2Н5Br + HBr
С2Н5Br + Н2О = С2Н5ОН + HBr
С2Н5ОН + [O] = CH3CHO + H2O
CH3CHO + Ag2O = CH3COOH + Ag
уксусная кислота - вещество А
- 22.12.2017 12:59
- thumb_up 30
Знаете ответ? Поделитесь им!
Есть сомнения?
Не нашли подходящего ответа на вопрос или ответ отсутствует? Воспользуйтесь поиском по сайту, чтобы найти все ответы на похожие вопросы в разделе Химия.
Трудности с домашними заданиями? Не стесняйтесь попросить о помощи - смело задавайте вопросы!
Химия — одна из важнейших и обширных областей естествознания, наука о веществах, их составе и строении, их свойствах, зависящих от состава и строения, их превращениях, ведущих к изменению состава — химических реакциях, а также о законах и закономерностях, которым эти превращения подчиняются.