- 04.02.2018 17:26
- Химия
- remove_red_eye 14394
- thumb_up 28
Ответы и объяснения 1
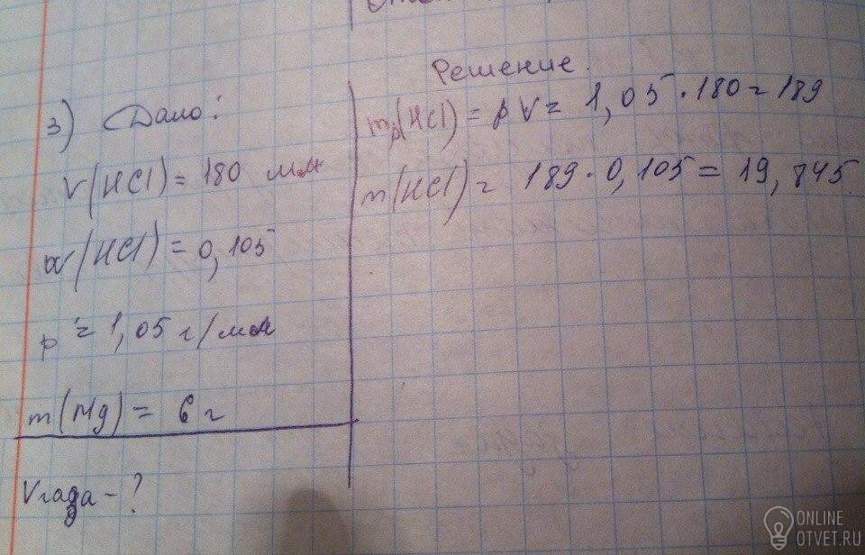
Решение :
Mg+2HCl=MgСl2+H2
M(Mg)=24г/моль
M(HCl)=35.5г/моль
n(Mg)= m/M=6/24=0.25моль
n(HCl)=19.845/35.5=0.56моль
Т. к. магния недостаток то расчеты ведем по нему:
n(Mg)=n(H2)=0.25моль
V(H2)=n*Vm=0.25*22.4=5.6л
Ответ:5.6л
- 05.02.2018 16:17
- thumb_up 28
Знаете ответ? Поделитесь им!
Есть сомнения?
Не нашли подходящего ответа на вопрос или ответ отсутствует? Воспользуйтесь поиском по сайту, чтобы найти все ответы на похожие вопросы в разделе Химия.
Трудности с домашними заданиями? Не стесняйтесь попросить о помощи - смело задавайте вопросы!
Химия — одна из важнейших и обширных областей естествознания, наука о веществах, их составе и строении, их свойствах, зависящих от состава и строения, их превращениях, ведущих к изменению состава — химических реакциях, а также о законах и закономерностях, которым эти превращения подчиняются.