Вопрос по химии:
Напишите уравнения возможных реакций : между 2 - аминобутановой кислотой , метилфениламином, и следующими в-ми : пропанолом, бромом,серной кислотой.
- 18.06.2017 21:10
- Химия
- remove_red_eye 18635
- thumb_up 18
Ответы и объяснения 1
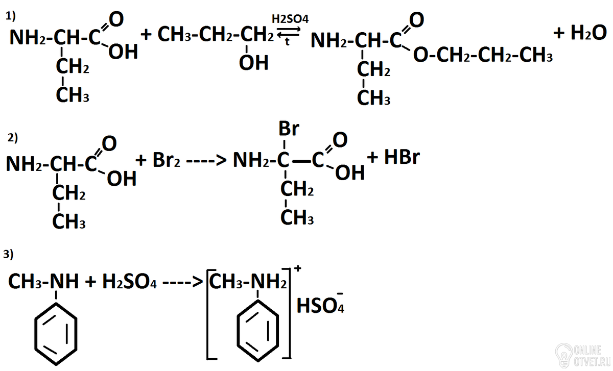
2-аминобутановая кислота реагирует с:
1) пропанолом по карбоксильной группе, получается пропиламинобутановый эфир;
2)бромом при температуре, замещение атомов водорода в альфа- положении, получается 2-бром-2-аминобутановая кислота ( поскольку первыми атомы водорода замещаются возле того атома углерода, возле которого атомов водорода меньше)
Метилфениламин реагирует с:
3) серной кислотой, получается метилфениламоний гидросульфат - соль.
Уравнения во вложении)
- 19.06.2017 09:05
- thumb_up 21
Знаете ответ? Поделитесь им!
Есть сомнения?
Не нашли подходящего ответа на вопрос или ответ отсутствует? Воспользуйтесь поиском по сайту, чтобы найти все ответы на похожие вопросы в разделе Химия.
Трудности с домашними заданиями? Не стесняйтесь попросить о помощи - смело задавайте вопросы!
Химия — одна из важнейших и обширных областей естествознания, наука о веществах, их составе и строении, их свойствах, зависящих от состава и строения, их превращениях, ведущих к изменению состава — химических реакциях, а также о законах и закономерностях, которым эти превращения подчиняются.