Вопрос по химии:
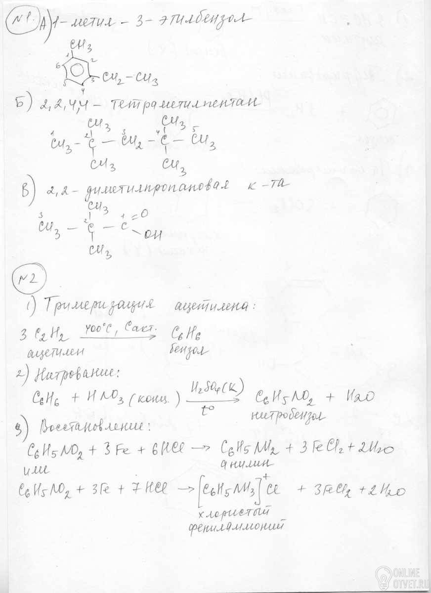
№1.Напишите структурные формулы следующих соединений:
А) 2-метил-3-этилбензол.
Б)2,2,4,4-тетраметилпентан
В)2,2-диметилпропановая кислота
№2. Напишите уравнения реакций ,при помощи которых можно осуществить следующие превращения:
C2H2->C6H6->C6H5NO2->C6H5NH2
№3. Решите задачу.
Какой объём водорода выделится при взаимодействии этиленгликоля массой 4г с металлическим натрием массой2,3г?
- 03.01.2018 14:32
- Химия
- remove_red_eye 10428
- thumb_up 11
Ответы и объяснения 1
Знаете ответ? Поделитесь им!
Есть сомнения?
Не нашли подходящего ответа на вопрос или ответ отсутствует? Воспользуйтесь поиском по сайту, чтобы найти все ответы на похожие вопросы в разделе Химия.
Трудности с домашними заданиями? Не стесняйтесь попросить о помощи - смело задавайте вопросы!
Химия — одна из важнейших и обширных областей естествознания, наука о веществах, их составе и строении, их свойствах, зависящих от состава и строения, их превращениях, ведущих к изменению состава — химических реакциях, а также о законах и закономерностях, которым эти превращения подчиняются.