Вопрос по химии:
Составьте цепочку превращений
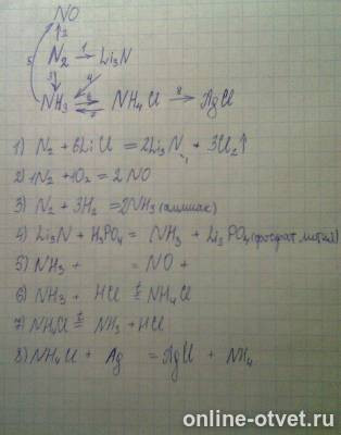
N2-Li3N, N2 - NH3,N2 - NO , Li3N - NH3 , NH3 - NO , NH3 - NH4Cl , NH4Cl - NH3 , NH4Cl - AGCl
- 23.03.2018 01:21
- Химия
- remove_red_eye 18647
- thumb_up 18
Ответы и объяснения 1
Знаете ответ? Поделитесь им!
Есть сомнения?
Не нашли подходящего ответа на вопрос или ответ отсутствует? Воспользуйтесь поиском по сайту, чтобы найти все ответы на похожие вопросы в разделе Химия.
Трудности с домашними заданиями? Не стесняйтесь попросить о помощи - смело задавайте вопросы!
Химия — одна из важнейших и обширных областей естествознания, наука о веществах, их составе и строении, их свойствах, зависящих от состава и строения, их превращениях, ведущих к изменению состава — химических реакциях, а также о законах и закономерностях, которым эти превращения подчиняются.