Вопрос по экономике:
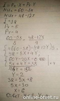
Предельная полезность товара Х для потребителя равна 60-5Х а предельная полезность товара Y равна 48-12Y. Доход потребителя составляет 38 грн. Рх= 5 грн. , Рy=4 грн. Рассчитайте оптимальную потребительскую корзину.
- 26.09.2018 10:20
- Экономика
- remove_red_eye 13763
- thumb_up 30
Ответы и объяснения 1
Знаете ответ? Поделитесь им!
Есть сомнения?
Не нашли подходящего ответа на вопрос или ответ отсутствует? Воспользуйтесь поиском по сайту, чтобы найти все ответы на похожие вопросы в разделе Экономика.
Трудности с домашними заданиями? Не стесняйтесь попросить о помощи - смело задавайте вопросы!
Экономика - хозяйственная деятельность общества, а также совокупность отношений, складывающихся в системе производства, распределения, обмена и потребления.