Пожаловаться
- 08.02.2016 12:06
- Другие предметы
- remove_red_eye 17831
- thumb_up 42
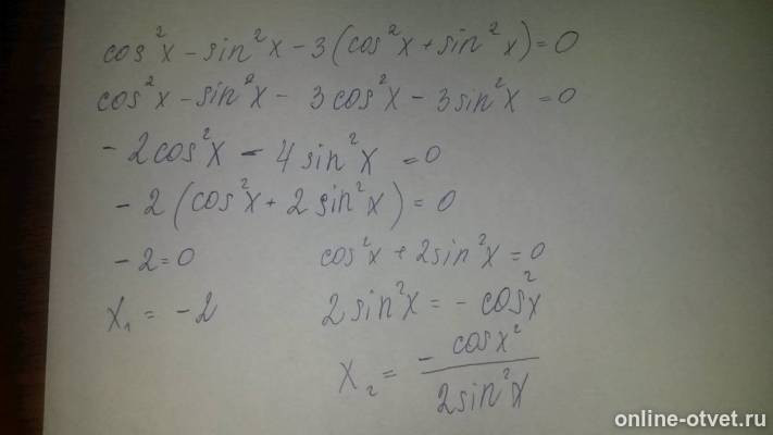
Ответы и объяснения 1
Знаете ответ? Поделитесь им!
Есть сомнения?
Не нашли подходящего ответа на вопрос или ответ отсутствует? Воспользуйтесь поиском по сайту, чтобы найти все ответы на похожие вопросы в разделе Другие предметы.
Трудности с домашними заданиями? Не стесняйтесь попросить о помощи - смело задавайте вопросы!
В данном разделе публикуются вопросы и ответы на них к непопулярным предметам.
Новые вопросы
Интересные вопросы