Вопрос по алгебре:
Решите плиз дробями 35 баллов
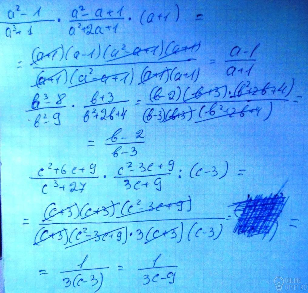
а²-1÷а³+1×a²-a+1÷a²+2a²+1×(a+1)
d³-8÷b²-9×b+3÷b²+2b+4
c²+6c+9÷c³+27×c²-3c+9÷3c+9÷(c-3)
- 13.06.2018 00:31
- Алгебра
- remove_red_eye 6049
- thumb_up 47
Ответы и объяснения 2
Знаете ответ? Поделитесь им!
Есть сомнения?
Не нашли подходящего ответа на вопрос или ответ отсутствует? Воспользуйтесь поиском по сайту, чтобы найти все ответы на похожие вопросы в разделе Алгебра.
Трудности с домашними заданиями? Не стесняйтесь попросить о помощи - смело задавайте вопросы!
Алгебра — раздел математики, который можно нестрого охарактеризовать как обобщение и расширение арифметики.