Вопрос по алгебре:
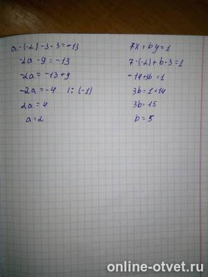
При каких значениях а и b пара чисел (-2; 3) является решением системы уравнений 1). ах - 3у = -13 2). 7х + bу = 1 Помогите пожееее !!!!!
- 23.07.2018 11:30
- Алгебра
- remove_red_eye 19619
- thumb_up 29
Ответы и объяснения 1
Знаете ответ? Поделитесь им!
Есть сомнения?
Не нашли подходящего ответа на вопрос или ответ отсутствует? Воспользуйтесь поиском по сайту, чтобы найти все ответы на похожие вопросы в разделе Алгебра.
Трудности с домашними заданиями? Не стесняйтесь попросить о помощи - смело задавайте вопросы!
Алгебра — раздел математики, который можно нестрого охарактеризовать как обобщение и расширение арифметики.