Вопрос по алгебре:
СРОЧНО 30 БАЛЛОВ
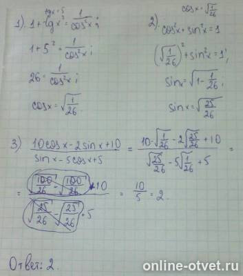
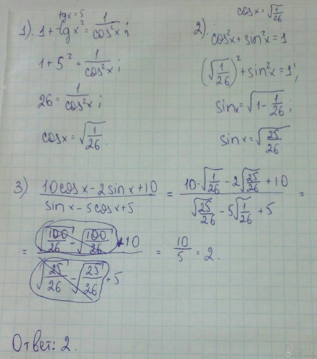
Найдите (10cosx-2sinx+10)/(sinx-5cosx+5), если tgx=5
Пожаловаться
- 20.08.2018 15:40
- Алгебра
- remove_red_eye 2847
- thumb_up 25
Ответы и объяснения 1
Знаете ответ? Поделитесь им!
Есть сомнения?
Не нашли подходящего ответа на вопрос или ответ отсутствует? Воспользуйтесь поиском по сайту, чтобы найти все ответы на похожие вопросы в разделе Алгебра.
Трудности с домашними заданиями? Не стесняйтесь попросить о помощи - смело задавайте вопросы!
Алгебра — раздел математики, который можно нестрого охарактеризовать как обобщение и расширение арифметики.
Новые вопросы
Интересные вопросы