Вопрос по алгебре:
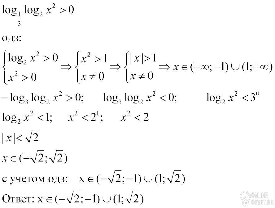
Логарифмическое неравенство:
Предполагаю нужно привести к такому виду, но что дальше - не понятно.
Короче не могу понять, будет от основания значение увеличиваться или уменьшаться, а точнее как это объяснить.
- 23.03.2018 10:34
- Алгебра
- remove_red_eye 3813
- thumb_up 30
Ответы и объяснения 1
Знаете ответ? Поделитесь им!
Есть сомнения?
Не нашли подходящего ответа на вопрос или ответ отсутствует? Воспользуйтесь поиском по сайту, чтобы найти все ответы на похожие вопросы в разделе Алгебра.
Трудности с домашними заданиями? Не стесняйтесь попросить о помощи - смело задавайте вопросы!
Алгебра — раздел математики, который можно нестрого охарактеризовать как обобщение и расширение арифметики.