Пожаловаться
- 03.07.2018 04:22
- Алгебра
- remove_red_eye 8768
- thumb_up 19
Ответы и объяснения 1
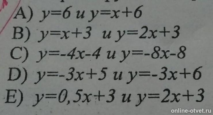
А)у=6 ,6=х+6 х=6-6=0
В)у=х+3 у=2х+3 х+3=2х+3 х-2х=3-3 -х=0 х=0
у=0+3=3 у=2*0 +3 =0+3=3
С)-4х-4 =-8х-8 -4х+8х=-8+4 4х=-4 х=-1 у=-4*(-1)-4=4-4=0
Е)0,5х+3=2х+3 3-3 =2х-0,5х 1,5х=0 х=0 у=0,5*0+3=0+3=3
В)у=х+3 у=2х+3 х+3=2х+3 х-2х=3-3 -х=0 х=0
у=0+3=3 у=2*0 +3 =0+3=3
С)-4х-4 =-8х-8 -4х+8х=-8+4 4х=-4 х=-1 у=-4*(-1)-4=4-4=0
Е)0,5х+3=2х+3 3-3 =2х-0,5х 1,5х=0 х=0 у=0,5*0+3=0+3=3
Пожаловаться
- 04.07.2018 23:33
- thumb_up 44
Знаете ответ? Поделитесь им!
Есть сомнения?
Не нашли подходящего ответа на вопрос или ответ отсутствует? Воспользуйтесь поиском по сайту, чтобы найти все ответы на похожие вопросы в разделе Алгебра.
Трудности с домашними заданиями? Не стесняйтесь попросить о помощи - смело задавайте вопросы!
Алгебра — раздел математики, который можно нестрого охарактеризовать как обобщение и расширение арифметики.
Новые вопросы
Интересные вопросы