Вопрос по алгебре:
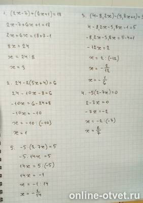
Здравствуйте помогите пожалуйста решить уравнения пожалуйста с решением: 1. (2х-7)+(6х+1)=18 2. 24-2(5х+4)=6 3. (4-8,2х)-(3,8х+1)=5 4. -5(2-7х)=0 5. -5*(2*7х)=5
- 20.02.2018 02:50
- Алгебра
- remove_red_eye 7448
- thumb_up 36
Ответы и объяснения 1
Знаете ответ? Поделитесь им!
Есть сомнения?
Не нашли подходящего ответа на вопрос или ответ отсутствует? Воспользуйтесь поиском по сайту, чтобы найти все ответы на похожие вопросы в разделе Алгебра.
Трудности с домашними заданиями? Не стесняйтесь попросить о помощи - смело задавайте вопросы!
Алгебра — раздел математики, который можно нестрого охарактеризовать как обобщение и расширение арифметики.