Вопрос по алгебре:
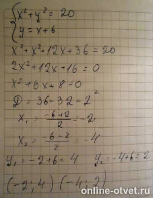
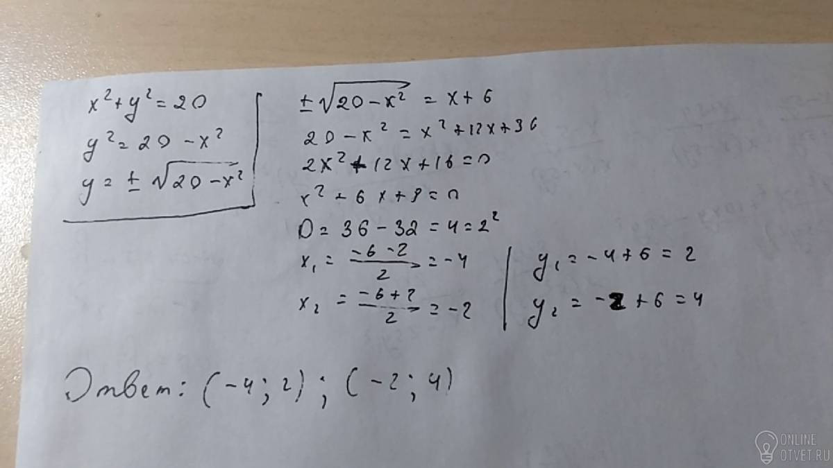
Вычислите координаты точек пересечения окружности х^2+у^2 =20 и прямой у= х+6
Пожаловаться
- 02.07.2018 04:10
- Алгебра
- remove_red_eye 12093
- thumb_up 23
Ответы и объяснения 2
Знаете ответ? Поделитесь им!
Есть сомнения?
Не нашли подходящего ответа на вопрос или ответ отсутствует? Воспользуйтесь поиском по сайту, чтобы найти все ответы на похожие вопросы в разделе Алгебра.
Трудности с домашними заданиями? Не стесняйтесь попросить о помощи - смело задавайте вопросы!
Алгебра — раздел математики, который можно нестрого охарактеризовать как обобщение и расширение арифметики.
Новые вопросы
Интересные вопросы