Вопрос по алгебре:
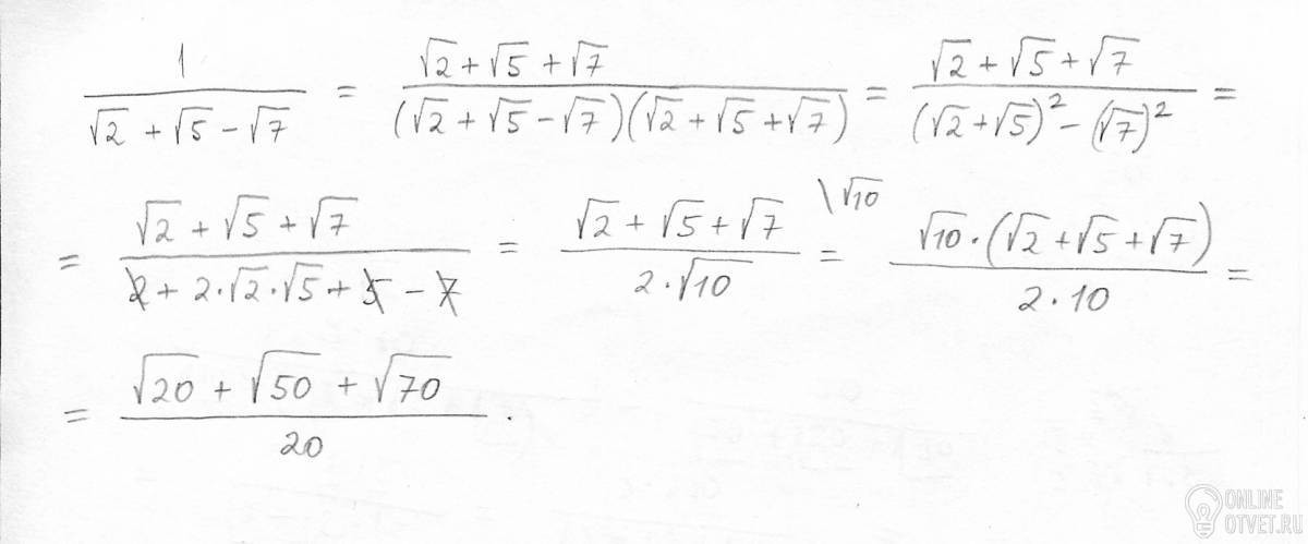
Распишите подробно Освободитесь от иррациональности в знаменателе дроби: 1разделить на корень из (2) +корень из(5) -корень из(7)
- 17.03.2018 15:55
- Алгебра
- remove_red_eye 17958
- thumb_up 47
Ответы и объяснения 1
Знаете ответ? Поделитесь им!
Есть сомнения?
Не нашли подходящего ответа на вопрос или ответ отсутствует? Воспользуйтесь поиском по сайту, чтобы найти все ответы на похожие вопросы в разделе Алгебра.
Трудности с домашними заданиями? Не стесняйтесь попросить о помощи - смело задавайте вопросы!
Алгебра — раздел математики, который можно нестрого охарактеризовать как обобщение и расширение арифметики.