Вопрос по алгебре:
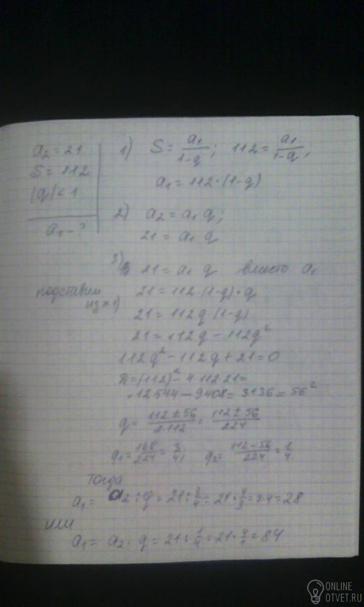
В бесконечно убывающей прогрессии известен 2-й член a2 = 21 и сумма S = 112. Найдите её 1-й член.
- 04.09.2018 23:30
- Алгебра
- remove_red_eye 17958
- thumb_up 51
Ответы и объяснения 1
Знаете ответ? Поделитесь им!
Есть сомнения?
Не нашли подходящего ответа на вопрос или ответ отсутствует? Воспользуйтесь поиском по сайту, чтобы найти все ответы на похожие вопросы в разделе Алгебра.
Трудности с домашними заданиями? Не стесняйтесь попросить о помощи - смело задавайте вопросы!
Алгебра — раздел математики, который можно нестрого охарактеризовать как обобщение и расширение арифметики.