Пожаловаться
- 09.09.2018 18:58
- Алгебра
- remove_red_eye 1837
- thumb_up 6
Ответы и объяснения 1
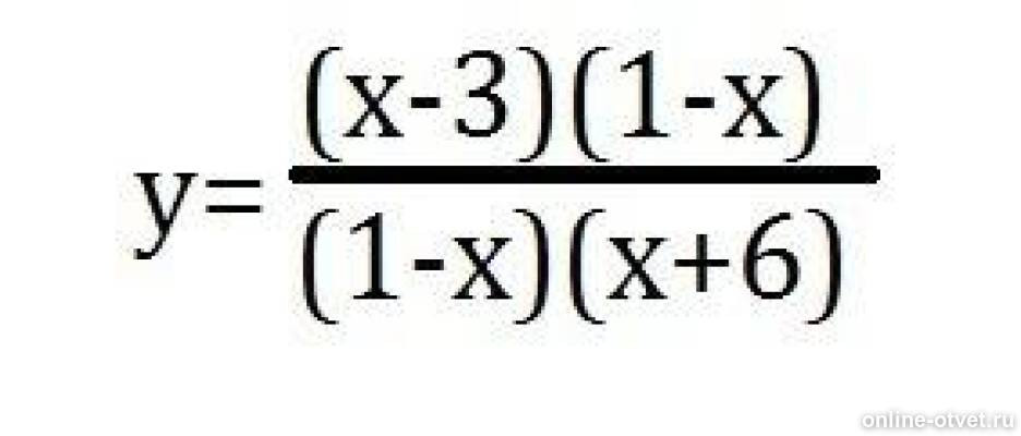
Т.к. знаменатель не может равняться 0, то
1-x≠0 x+6≠0
x₁≠1 x₂≠-6
Во всех остальных случаях функция существует
⇒D(x)=(-∞;-6)∪(-6;1)∪(1;+∞)
1-x≠0 x+6≠0
x₁≠1 x₂≠-6
Во всех остальных случаях функция существует
⇒D(x)=(-∞;-6)∪(-6;1)∪(1;+∞)
Пожаловаться
- 01.01.1970 00:00
- thumb_up 2
Знаете ответ? Поделитесь им!
Есть сомнения?
Не нашли подходящего ответа на вопрос или ответ отсутствует? Воспользуйтесь поиском по сайту, чтобы найти все ответы на похожие вопросы в разделе Алгебра.
Трудности с домашними заданиями? Не стесняйтесь попросить о помощи - смело задавайте вопросы!
Алгебра — раздел математики, который можно нестрого охарактеризовать как обобщение и расширение арифметики.
Новые вопросы
Интересные вопросы