Пожаловаться
- 04.06.2018 23:12
- Алгебра
- remove_red_eye 15441
- thumb_up 11
Ответы и объяснения 1
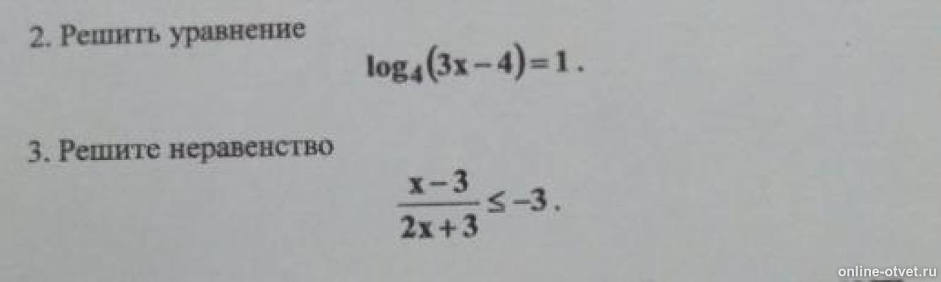
2
log(4)(3x-4)=1
{3x-4>0⇒3x>4⇒x>4/3
{3x-4=4⇒3x=4+4⇒3x=8⇒x=8/3
Ответ х=2 2/3
3
(x-3)/(2x+3)≤-3
(x-3)/(2x+3)+3≤0
(x-3+6x+9)/(2x+3)≤0
(7x+6)/(2x+3)≤0
x=-6/7 x=-3/2
+ _ +
-------------------(-3/2)---------------[-6/7]--------------------
x∈(-3/2;-6/7]
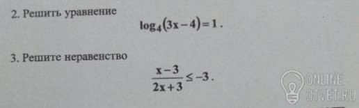
log(4)(3x-4)=1
{3x-4>0⇒3x>4⇒x>4/3
{3x-4=4⇒3x=4+4⇒3x=8⇒x=8/3
Ответ х=2 2/3
3
(x-3)/(2x+3)≤-3
(x-3)/(2x+3)+3≤0
(x-3+6x+9)/(2x+3)≤0
(7x+6)/(2x+3)≤0
x=-6/7 x=-3/2
+ _ +
-------------------(-3/2)---------------[-6/7]--------------------
x∈(-3/2;-6/7]
Пожаловаться
- 05.06.2018 10:58
- thumb_up 26
Знаете ответ? Поделитесь им!
Есть сомнения?
Не нашли подходящего ответа на вопрос или ответ отсутствует? Воспользуйтесь поиском по сайту, чтобы найти все ответы на похожие вопросы в разделе Алгебра.
Трудности с домашними заданиями? Не стесняйтесь попросить о помощи - смело задавайте вопросы!
Алгебра — раздел математики, который можно нестрого охарактеризовать как обобщение и расширение арифметики.
Новые вопросы
Интересные вопросы