Вопрос по алгебре:
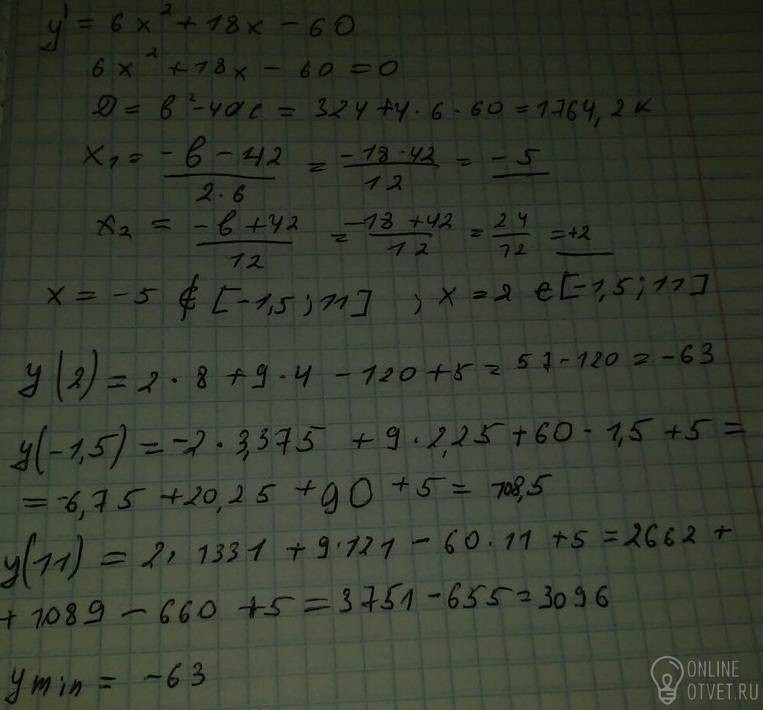
Найдите наименьшее значение функции y=2x^3+9x^2-60x+5 на отрезке [-1,5;11]. Помогите пожалуйста!
- 11.09.2018 23:47
- Алгебра
- remove_red_eye 840
- thumb_up 28
Ответы и объяснения 2
Знаете ответ? Поделитесь им!
Есть сомнения?
Не нашли подходящего ответа на вопрос или ответ отсутствует? Воспользуйтесь поиском по сайту, чтобы найти все ответы на похожие вопросы в разделе Алгебра.
Трудности с домашними заданиями? Не стесняйтесь попросить о помощи - смело задавайте вопросы!
Алгебра — раздел математики, который можно нестрого охарактеризовать как обобщение и расширение арифметики.